See also stream graphs.
| Category | Histogram | Time vs. Distance |
|---|---|---|
| 10kRPM Drives | Graph (Raw) | Graph (Normalized) |
| 15kRPM Drives | Graph (Raw) | Graph (Normalized) |
| 250G disks | Graph (Raw) | Graph (Normalized) |
| 2.5" Disks | Graph (Raw) | Graph (Normalized) |
| 3.5" Disks | Graph (Raw) | Graph (Normalized) |
| 3600RPM Drives | Graph (Raw) | Graph (Normalized) |
| 4500RPM Drives | Graph (Raw) | Graph (Normalized) |
| 512B vs 4K sector seek test | Graph (Raw) | Graph (Normalized) |
| 5x00RPM Drives | Graph (Raw) | Graph (Normalized) |
| 7200RPM Drives | Graph (Raw) | Graph (Normalized) |
| All Drives | Graph (Raw) | Graph (Normalized) |
| All Hard Drives | Graph (Raw) | Graph (Normalized) |
| ATA Disks | Graph (Raw) | Graph (Normalized) |
| CD-ROM Drives | Graph (Raw) | Graph (Normalized) |
| Desktop Drives (5-9k RPM) | Graph (Raw) | Graph (Normalized) |
| DVD-ROM Drives | Graph (Raw) | Graph (Normalized) |
| elm3a188 RAID vs Disk | Graph (Raw) | Graph (Normalized) |
| Flash Media | Graph (Raw) | Graph (Normalized) |
| Floppy Drives | Graph (Raw) | Graph (Normalized) |
| Fujitsu MBB2147RC 146G Disk | Graph (Raw) | Graph (Normalized) |
| High End Drives | Graph (Raw) | Graph (Normalized) |
| kvm virtio tests | Graph (Raw) | Graph (Normalized) |
| laptop | Graph (Raw) | Graph (Normalized) |
| Maxtor 7Y250M0 250G Disk | Graph (Raw) | Graph (Normalized) |
| Maxtor Atlas 10k V SCSI vs SAS | Graph (Raw) | Graph (Normalized) |
| Non Mechanical Drives | Graph (Raw) | Graph (Normalized) |
| NVMe SSD | Graph (Raw) | Graph (Normalized) |
| Optical Drives | Graph (Raw) | Graph (Normalized) |
| PATA Disks | Graph (Raw) | Graph (Normalized) |
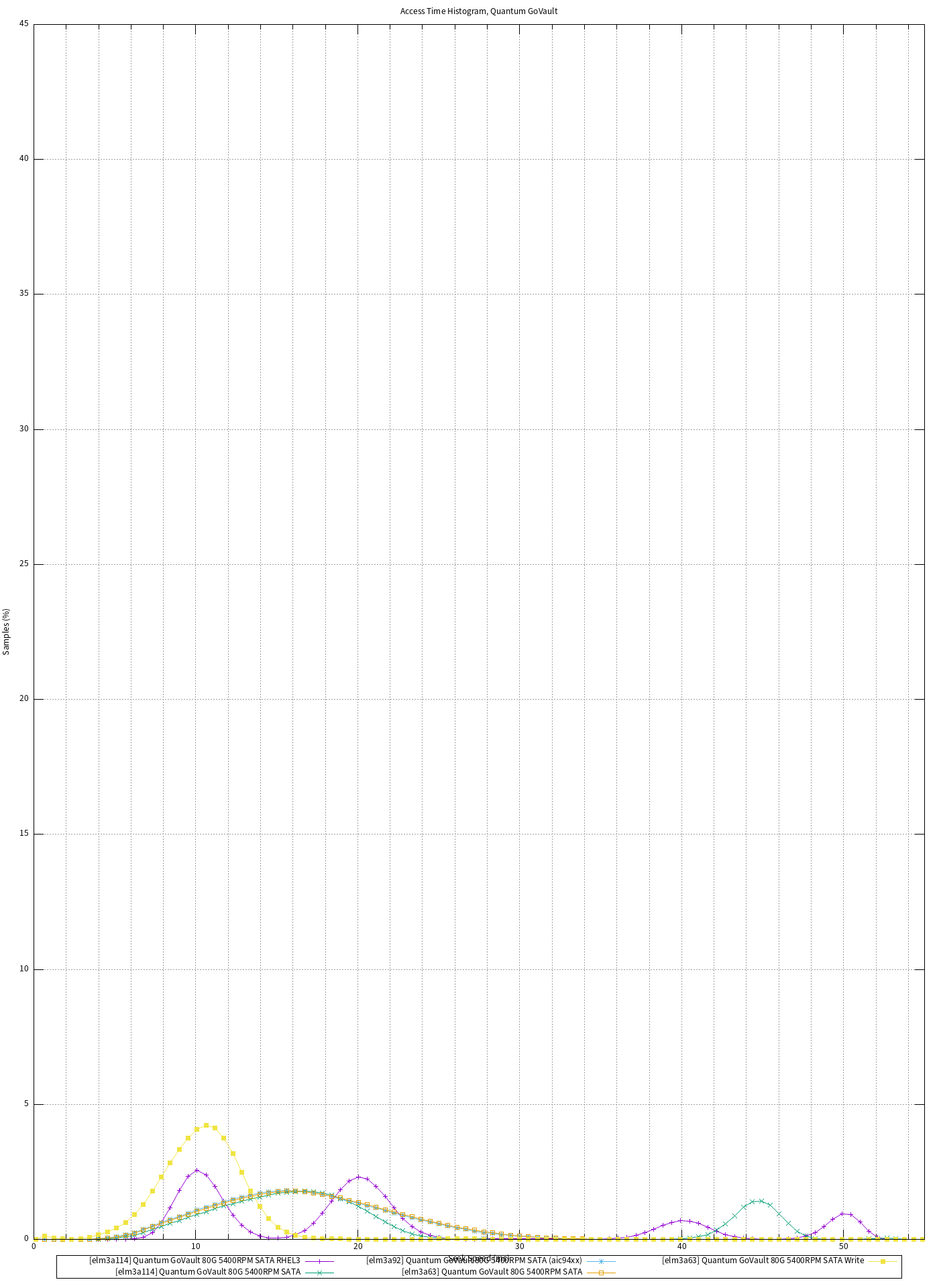
| Quantum GoVault | Graph (Raw) | Graph (Normalized) |
| RAID Arrays | Graph (Raw) | Graph (Normalized) |
| Rotating Drives | Graph (Raw) | Graph (Normalized) |
| SAS Disks | Graph (Raw) | Graph (Normalized) |
| SATA Disks | Graph (Raw) | Graph (Normalized) |
| SCSI and SAS Disks | Graph (Raw) | Graph (Normalized) |
| SCSI Disks | Graph (Raw) | Graph (Normalized) |
| Seagate Cheetah 15k SAS disks | Graph (Raw) | Graph (Normalized) |
| Seagate Momentus 7.2k SATA disks | Graph (Raw) | Graph (Normalized) |
| Seagate Savvio 10k vs 15k | Graph (Raw) | Graph (Normalized) |
| Seagate ST3250310NS | Graph (Raw) | Graph (Normalized) |
| Seagate ST373454SS | Graph (Raw) | Graph (Normalized) |
| Server Drives | Graph (Raw) | Graph (Normalized) |
| Short Stroke II | Graph (Raw) | Graph (Normalized) |
| Short Stroke Race | Graph (Raw) | Graph (Normalized) |
| Short Stroking | Graph (Raw) | Graph (Normalized) |
| Slow Drives | Graph (Raw) | Graph (Normalized) |
| Sony DRU-810a 16x DVD-RW PATA | Graph (Raw) | Graph (Normalized) |
| SSD disks | Graph (Raw) | Graph (Normalized) |
| Stec Mach8 SSD | Graph (Raw) | Graph (Normalized) |
| sub2 Hitachi 250G Disk | Graph (Raw) | Graph (Normalized) |
| Too-Fast RAID Arrays | Graph (Raw) | Graph (Normalized) |
| Disk | Seek(Distance) | Seek(Start, End) | Histogram | Raw Histogram |
|---|---|---|---|---|
| 5x RAID0 2.5" 730G SAS bare metal 5x RAID0 2.5" 730G SAS bare metal | Graph Data | Graph | Graph Data | Graph |
| 5x RAID0 2.5" 730G SAS kvm-86 virtio cached 5x RAID0 2.5" 730G SAS kvm-86 virtio cached | Graph Data | Graph | Graph Data | Graph |
| 5x RAID0 2.5" 730G SAS kvm-84 virtio cached 5x RAID0 2.5" 730G SAS kvm-84 virtio cached | Graph Data | Graph | Graph Data | Graph |
| 5x RAID0 2.5" 730G SAS kvm-86 virtio direct 5x RAID0 2.5" 730G SAS kvm-86 virtio direct | Graph Data | Graph | Graph Data | Graph |
| 20x9 md RAID50 insanity 7200RPM SCSI [tux1] | Graph Data | Graph | Graph Data | Graph |
| 24-disk 3.3TB SAS RAID0 cached [elm3a176] | Graph Data | Graph | Graph Data | Graph |
| 24-disk 3.3TB SAS RAID0 o_direct [elm3a176] | Graph Data | Graph | Graph Data | Graph |
| 2TB 3x RAID1 SATA Read [sub3] | Graph Data | Graph | Graph Data | Graph |
| 2TB 3x RAID1 SATA Write [sub3] | Graph Data | Graph | Graph Data | Graph |
| 2x Intel SSDSC2CW240A3 2.5" 240G SSD SATA2 RAID0 Read [josht] | Graph Data | Graph | Graph Data | Graph |
| 4x 10k 2.5" RAID0 SAS [elm3a112] | Graph Data | Graph | Graph Data | Graph |
| 8TB monster array of 42 spindles [elm3c44] | Graph Data | Graph | Graph Data | Graph |
| aacraid0 2x 36G SAS 10k [elm3a55] | Graph Data | Graph | Graph Data | Graph |
| aacraid1 2x 36G SAS 10k [elm3a55] | Graph Data | Graph | Graph Data | Graph |
| aacraid 160G 2 disk RAID0 with Maxtor 6Y080M0 [elm3a51] | Graph Data | Graph | Graph Data | Graph |
| aacraid 160G 2 disk RAID5 with Maxtor 6Y080M0 [elm3a51] | Graph Data | Graph | Graph Data | Graph |
| aacraid 239G 3 disk RAID0 with 7200RPM SATA [elm3a253] | Graph Data | Graph | Graph Data | Graph |
| aacraid 3x RAID0 SAS [elm3a150] | Graph Data | Graph | Graph Data | Graph |
| aacraid 4x RAID0 SAS [elm3a188] | Graph Data | Graph | Graph Data | Graph |
| aacraid 80G 2 disk RAID1 with Maxtor 6Y080M0 [elm3a51] | Graph Data | Graph | Graph Data | Graph |
| aacraid 8i 217G 6 disk RAID0 SAS [elm3a89] | Graph Data | Graph | Graph Data | Graph |
| Adaptec 8k 3x73GB 10k 3.5" RAID0 SAS [elm3a63] | Graph Data | Graph | Graph Data | Graph |
| Adaptec 8k 4x300GB Maxtor 10k 3.5" RAID0 SAS [elm3a63] | Graph Data | Graph | Graph Data | Graph |
| Adaptec 8k 5x146GB 15k 3.5" RAID5 SAS [elm3a63] | Graph Data | Graph | Graph Data | Graph |
| Annoying Flashy Intel 1GB Flash Drive USB2 [tree] | Graph Data | Graph | Graph Data | Graph |
| Apple HGST HTS541010A9E662 2.5" 1TB 5400RPM SATA Read [plum] | Graph Data | Graph | Graph Data | Graph |
| Apple HGST HTS541010A9E662 2.5" 1TB 5400RPM SATA Read #2 [flax] | Graph Data | Graph | Graph Data | Graph |
| Apple SSD SM128E (Samsung 830) 2.5" 120GB SSD SATA Read [flax] | Graph Data | Graph | Graph Data | Graph |
| CDC Wren IV 94191-5374 667M 3600RPM SCSI Read [?] | Graph Data | Graph | Graph Data | Graph |
| Crucial M4 CT128M4SSD3 mSATA 128G SSD SATA Read [blackbox] | Graph Data | Graph | Graph Data | Graph |
| Crucial M4 CT256M4SSD2 2.5" 256G SSD SAS Read (tiger) [plum] | Graph Data | Graph | Graph Data | Graph |
| Crucial M4 CT256M4SSD2 2.5" 256G SSD SATA Read [plum] | Graph Data | Graph | Graph Data | Graph |
| Crucial P3 CT4000 4T NVMe [plum] | Graph Data | Graph | Graph Data | Graph |
| Crucial RealSSD C300 CTFDDAC064MAG-1G1 64GB SSD SATA Read [ocho] | Graph Data | Graph | Graph Data | Graph |
| dmraid 181G 6 disk RAID5 SAS [elm3a89] | Graph Data | Graph | Graph Data | Graph |
| Fujitsu MAS3735NC 73.4G 15000RPM U320 SCSI [elm3a75] | Graph Data | Graph | Graph Data | Graph |
| Fujitsu MAV2073RC 73.4G 10000RPM SAS [elm3a89] | Graph Data | Graph | Graph Data | Graph |
| Fujitsu MAX3147RC 146G 15kRPM SAS [elm3a176] | Graph Data | Graph | Graph Data | Graph |
| Fujitsu MBA3073RC 3.5" 73G 15000RPM SAS [elm3a176] | Graph Data | Graph | Graph Data | Graph |
| Fujitsu MBB2147RC 2.5" 146G 10000RPM SAS Read [elm3b225] | Graph Data | Graph | Graph Data | Graph |
| Fujitsu MBB2147RC 2.5" 146G 10000RPM SAS Read Nocache [elm3b225] | Graph Data | Graph | Graph Data | Graph |
| Fujitsu MBB2147RC 2.5" 146G 10000RPM SAS Write [elm3b225] | Graph Data | Graph | Graph Data | Graph |
| Fujitsu MBB2147RC 2.5" 146G 10000RPM SAS Write Nocache [elm3b225] | Graph Data | Graph | Graph Data | Graph |
| Fujitsu MHW2120BH 120GB 2.5" 5.4kRPM SATA Read [chewy] | Graph Data | Graph | Graph Data | Graph |
| HGST HDN724030ALE640 3TB 3.5" 7.2kRPM SATA Read [sub3] | Graph Data | Graph | Graph Data | Graph |
| HGST HSH721414ALN6M0 14TB 3.5" 7.2kRPM SMR SATA Read [plum] | Graph Data | Graph | Graph Data | Graph |
| HGST HTS721010A9E630 1TB 2.5" 7.2kRPM SATA Read [blackbox] | Graph Data | Graph | Graph Data | Graph |
| Hitachi HDS722525VLSA80 3.5" 250G 7.2kRPM SATA Read [sub2] | Graph Data | Graph | Graph Data | Graph |
| Hitachi HDS722525VLSA80 3.5" 250G 7.2kRPM SATA Read Noreadahead [sub2] | Graph Data | Graph | Graph Data | Graph |
| Hitachi HDS722525VLSA80 3.5" 250G 7.2kRPM SATA Write [sub2] | Graph Data | Graph | Graph Data | Graph |
| Hitachi HDS722525VLSA80 3.5" 250G 7.2kRPM SATA Write Nocache [sub2] | Graph Data | Graph | Graph Data | Graph |
| Hitachi HDS723020BLA642 2TB 3.5" 7.2kRPM SATA Read [sub3] | Graph Data | Graph | Graph Data | Graph |
| Hitachi HDS725050KLA360 3.5" 500G 7.2kRPM SATA [tortuga] | Graph Data | Graph | Graph Data | Graph |
| Hitachi HDS728080PLA380 80G 7200RPM SATA2 [elm3a92] | Graph Data | Graph | Graph Data | Graph |
| Hitachi HDT722516DLA380 3.5" 160G 7200RPM SATA [tortuga] | Graph Data | Graph | Graph Data | Graph |
| Hitachi HDT72502 250G 7200RPM SATA [elm3a162] | Graph Data | Graph | Graph Data | Graph |
| Hitachi HTS548080M9AT00 80G 5400RPM IDE [blackbox] | Graph Data | Graph | Graph Data | Graph |
| Hitachi HTS722010K9SA00 2.5" 100G 7200RPM SATA [blackbox] | Graph Data | Graph | Graph Data | Graph |
| Hitachi HTS725050A7E630 2.5" 500G 7200RPM SATA Read [blackbox] | Graph Data | Graph | Graph Data | Graph |
| Hitachi HTS725050A9A364 2.5" 500G 7.2kRPM SATA Read [quad] | Graph Data | Graph | Graph Data | Graph |
| Hitachi HTS725050A9A364 2.5" 500G 7.2kRPM SATA Write [quad] | Graph Data | Graph | Graph Data | Graph |
| Hitachi HUC101414CSS300 2.5" 146G 10000RPM SAS [elm3b225] | Graph Data | Graph | Graph Data | Graph |
| Hitachi HUS103014FL3800 146G 10025RPM U320 SCSI [elm3a75] | Graph Data | Graph | Graph Data | Graph |
| Hitachi Ultrastar HUS151414VLS300 146GB 15000RPM SAS [elm3a176] | Graph Data | Graph | Graph Data | Graph |
| HP EX950 2T NVMe Read [doh] | Graph Data | Graph | Graph Data | Graph |
| HP EX950 2T NVMe Read no ASPM [doh] | Graph Data | Graph | Graph Data | Graph |
| IBM DBCA-206480 6GB 4200RPM IDE [Osprey] | Graph Data | Graph | Graph Data | Graph |
| IBM DCHS04Y 4.5GB 7200RPM SCSI [tortuga] | Graph Data | Graph | Graph Data | Graph |
| IBM DHEA-38451 8.4GB 5400RPM IDE [mysterious] | Graph Data | Graph | Graph Data | Graph |
| IBM DJSA-220 20GB 4200RPM IDE [djwong] | Graph Data | Graph | Graph Data | Graph |
| IBM DPES 31080 1GB 5400RPM SCSI [whale] | Graph Data | Graph | Graph Data | Graph |
| IBM DTLA-307045 45G 7200RPM IDE (/home1) [thibs] | Graph Data | Graph | Graph Data | Graph |
| IBM DTLA-307045 45G 7200RPM IDE (/home2) [thibs] | Graph Data | Graph | Graph Data | Graph |
| IBM DTLA-307045 45GB 7200RPM IDE [Q] | Graph Data | Graph | Graph Data | Graph |
| IBM ESXS PYH073W3-ETS10FN 3.5" 73G 10kRPM SCSI [tree] | Graph Data | Graph | Graph Data | Graph |
| IBM ESXS PYH073W3-ETS10FN 3.5" 73G 10kRPM SCSI (PCIE) [tree] | Graph Data | Graph | Graph Data | Graph |
| IBM ESXS VPBA146C3ETS11 3.5" 146G 15kRPM SAS [elm3a237] | Graph Data | Graph | Graph Data | Graph |
| IMM internal flash USB [elm3b225] | Graph Data | Graph | Graph Data | Graph |
| Intel 80G SSD 2x RAID0 SATA [josht] | Graph Data | Graph | Graph Data | Graph |
| Intel SSDA2M080G2GC 80G SSD 4x RAID0 Read [elm3c44] | Graph Data | Graph | Graph Data | Graph |
| Intel SSDA2M080G2GC 80G SSD Read [elm3c44] | Graph Data | Graph | Graph Data | Graph |
| Intel SSDA2M080G2GC 80G SSD Read Clean [quad] | Graph Data | Graph | Graph Data | Graph |
| Intel SSDA2M080G2GC 80G SSD Read Old [quad] | Graph Data | Graph | Graph Data | Graph |
| Intel SSDA2M080G2GC 80G SSD Write [elm3c44] | Graph Data | Graph | Graph Data | Graph |
| Intel SSDA2M080G2GN 80G SSD Read New [quad] | Graph Data | Graph | Graph Data | Graph |
| Intel SSDPE2ME016T4S 1.5TB NVMe Read [ca-nfsdev6] | Graph Data | Graph | Graph Data | Graph |
| Intel SSDPE2ME016T4S 1.5TB NVMe Read #2 [ca-nfsdev6] | Graph Data | Graph | Graph Data | Graph |
| Intel SSDSA2CW30 320 Series SSD 300G SATA Read [lenovo_x220] | Graph Data | Graph | Graph Data | Graph |
| Intel SSDSA2M040G2GC X25-V 40G SSD SATA 6Gbps Read [sub3] | Graph Data | Graph | Graph Data | Graph |
| Intel SSDSA2MH080G1GC 2.5" 80G SSD SATA [josht] | Graph Data | Graph | Graph Data | Graph |
| Intel SSDSC2CW240A3 2.5" 240G SSD SATA2 Read [josht] | Graph Data | Graph | Graph Data | Graph |
| Iomega Zip 96MB 2941RPM IDE [beanmachine] | Graph Data | Graph | Graph Data | Graph |
| Kingston 8GB USB2 Flash Read [ocho] | Graph Data | Graph | Graph Data | Graph |
| Lexar 4GB Flash Drive USB2 [tree] | Graph Data | Graph | Graph Data | Graph |
| LG CRD-8322B 32x CD-ROM IDE [tortuga] | Graph Data | Graph | Graph Data | Graph |
| LG CRD-8322B 32x CD-ROM IDE [studbiscuit] | Graph Data | Graph | Graph Data | Graph |
| LG GCC-4482B 16x DVD-RW PATA [tree] | Graph Data | Graph | Graph Data | Graph |
| LG GDRH720N 6x DVD-ROM IDE [elm3a69] | Graph Data | Graph | Graph Data | Graph |
| LG GSA-4082B 8x DVD-RW PATA [z30] | Graph Data | Graph | Graph Data | Graph |
| LG GSA-4083N 8x DVD-RW PATA [blackbox] | Graph Data | Graph | Graph Data | Graph |
| LG GSA-H10N 16x DVD-RAM PATA [z30] | Graph Data | Graph | Graph Data | Graph |
| LG GSA-H10N 16x DVD-RAM PATA (realtime) [z30] | Graph Data | Graph | Graph Data | Graph |
| LSI 1078 2x73GB 2.5" 10k RAID0 SAS [elm3a63] | Graph Data | Graph | Graph Data | Graph |
| LSI 1078 4x146G 2.5" 10k RAID5 SAS [elm3a63] | Graph Data | Graph | Graph Data | Graph |
| Matshita DVD-R UJ-85J 8x DVD-RW PATA [tv] | Graph Data | Graph | Graph Data | Graph |
| Matshita UJDA745 4x DVD-ROM IDE [blackbox] | Graph Data | Graph | Graph Data | Graph |
| Matshita UJDA770 3x DVD-ROM IDE [elm3a63] | Graph Data | Graph | Graph Data | Graph |
| Maxtor 6H400F0 400GB 3.5" 7.2kRPM SATA Read [sub3] | Graph Data | Graph | Graph Data | Graph |
| Maxtor 6V200E0 200G 7200RPM SATA [sub2] | Graph Data | Graph | Graph Data | Graph |
| Maxtor 6Y080M0 80.0G 7200RPM SATA [elm3a51] | Graph Data | Graph | Graph Data | Graph |
| Maxtor 6Y080M0 80.0G 7200RPM SATA [elm3a51] | Graph Data | Graph | Graph Data | Graph |
| Maxtor 6Y080M0 80.0G 7200RPM SATA [elm3a51] | Graph Data | Graph | Graph Data | Graph |
| Maxtor 6Y080M0 80.0G 7200RPM SATA-SAS [elm3a92] | Graph Data | Graph | Graph Data | Graph |
| Maxtor 6Y200M0 7200RPM IDE [tortuga] | Graph Data | Graph | Graph Data | Graph |
| Maxtor 7Y250M0 250G 3.5" 7200RPM SATA [elm3a72] | Graph Data | Graph | Graph Data | Graph |
| Maxtor 7Y250M0 250G 3.5" 7200RPM SATA Write [elm3a51] | Graph Data | Graph | Graph Data | Graph |
| Maxtor 86480D6 6.4GB 5200RPM IDE [studbiscuit] | Graph Data | Graph | Graph Data | Graph |
| Maxtor 8E036S0 BBA036C3ESTT0Z 36G 15kRPM SAS [elm3a176] | Graph Data | Graph | Graph Data | Graph |
| Maxtor 8J073J0 GNS073C3ESTT0Z 73G 10kRPM SCSI [elm3a77] | Graph Data | Graph | Graph Data | Graph |
| Maxtor 8J073S0 GNA073C3ESTT0Z 73G 10kRPM SAS [elm3a176] | Graph Data | Graph | Graph Data | Graph |
| Maxtor 8J300S0 300G 10000RPM SAS [elm3a92] | Graph Data | Graph | Graph Data | Graph |
| Maxtor Atlas 15k II 36.4G 15000RPM SAS [elm3a92] | Graph Data | Graph | Graph Data | Graph |
| Maxtor GNA073C3 73G 10000RPM SAS [elm3a69] | Graph Data | Graph | Graph Data | Graph |
| Maxtor OneTouch 3.5" 500G 7200RPM SATA [mini] | Graph Data | Graph | Graph Data | Graph |
| md 160G 2 disk RAID0 with Maxtor 6Y080M0 [elm3a51] | Graph Data | Graph | Graph Data | Graph |
| md 160G 3 disk RAID5 with Maxtor 6Y080M0 [elm3a51] | Graph Data | Graph | Graph Data | Graph |
| md 182G 6 disk RAID5 SAS [elm3a89] | Graph Data | Graph | Graph Data | Graph |
| md 20-disk RAID5 SCSI [tux1] | Graph Data | Graph | Graph Data | Graph |
| md 330G 6 disk RAID0 SAS [elm3a89] | Graph Data | Graph | Graph Data | Graph |
| md 400G 2 disk RAID1 7200RPM SATA [sub1] | Graph Data | Graph | Graph Data | Graph |
| md 4-disk RAID5 SATA [submarine] | Graph Data | Graph | Graph Data | Graph |
| md 4-disk RAID5 SATA [tortuga] | Graph Data | Graph | Graph Data | Graph |
| md 80G 2 disk RAID1 with Maxtor 6Y080M0 [elm3a51] | Graph Data | Graph | Graph Data | Graph |
| Micropolis 1991-27 5.25" 9G 5.4kRPM SCSI [quad] | Graph Data | Graph | Graph Data | Graph |
| Motorola Droid Phone via USB2 [blackbox] | Graph Data | Graph | Graph Data | Graph |
| Mylex RAID5 Volume 1 [Anchor] | Graph Data | Graph | Graph Data | Graph |
| Mylex RAID5 Volume 2 [Anchor] | Graph Data | Graph | Graph Data | Graph |
| nbd-over-ssh (152ms ping) [adambox] | Graph Data | Graph | Graph Data | Graph |
| Nest Thermostat Gen. 2 USB2 Read [blackbox] | Graph Data | Graph | Graph Data | Graph |
| Olympus 2GB xD flash (USB) [quad] | Graph Data | Graph | Graph Data | Graph |
| Patriot PMAP 16GB USB3 Read [tiger] | Graph Data | Graph | Graph Data | Graph |
| Patriot Torqx2 256G SATA2 Read [ocho] | Graph Data | Graph | Graph Data | Graph |
| Phison USB 2.0 disk 128M [blackbox] | Graph Data | Graph | Graph Data | Graph |
| PingTec 1GB Flash Drive USB2 [tree] | Graph Data | Graph | Graph Data | Graph |
| Pioneer DR-U06S 32x CD-ROM SCSI [Q] | Graph Data | Graph | Graph Data | Graph |
| Plextor PX-R820T 8x CD-R SCSI [Q] | Graph Data | Graph | Graph Data | Graph |
| QUANTUM ATLAS10K3_36_WLS 36GB 10000RPM SCSI [Q] | Graph Data | Graph | Graph Data | Graph |
| Quantum Atlas 10k II 18GB 10000RPM SCSI [anchor] | Graph Data | Graph | Graph Data | Graph |
| Quantum Atlas V18 WLS 18GB 7200RPM SCSI [thibs] | Graph Data | Graph | Graph Data | Graph |
| Quantum Fireball TM1280S 1.2GB 4500RPM SCSI [frogmac] | Graph Data | Graph | Graph Data | Graph |
| Quantum GoVault 80G 5400RPM SATA [elm3a63] | Graph Data | Graph | Graph Data | Graph |
| Quantum GoVault 80G 5400RPM SATA [elm3a114] | Graph Data | Graph | Graph Data | Graph |
| Quantum GoVault 80G 5400RPM SATA (aic94xx) [elm3a92] | Graph Data | Graph | Graph Data | Graph |
| Quantum GoVault 80G 5400RPM SATA RHEL3 [elm3a114] | Graph Data | Graph | Graph Data | Graph |
| Quantum GoVault 80G 5400RPM SATA Write [elm3a63] | Graph Data | Graph | Graph Data | Graph |
| Quantum Lightning 365s 4500RPM SCSI [frogmac] | Graph Data | Graph | Graph Data | Graph |
| Quantum Lightning 365S 4500RPM SCSI [whale] | Graph Data | Graph | Graph Data | Graph |
| Sabrent Rocket 2T NVMe [tortuga] | Graph Data | Graph | Graph Data | Graph |
| Samsung 840 EVO MZ-7TE750BW 750G 6Gbps SATA Read [zenlinux] | Graph Data | Graph | Graph Data | Graph |
| Samsung 840 Pro 256G 6Gbps SATA Read [blackbox] | Graph Data | Graph | Graph Data | Graph |
| Samsung 860 EVO 500G SATA Read [maple] | Graph Data | Graph | Graph Data | Graph |
| Samsung 860 QVO 1T SATA Read [flax] | Graph Data | Graph | Graph Data | Graph |
| Samsung 860 QVO 2T SATA Read [flax] | Graph Data | Graph | Graph Data | Graph |
| Samsung 870 EVO 2T SATA Read [plum] | Graph Data | Graph | Graph Data | Graph |
| Samsung 960 PRO 512G NVMe Read [alder] | Graph Data | Graph | Graph Data | Graph |
| Samsung 970 EVO 2T NVMe Read [plum] | Graph Data | Graph | Graph Data | Graph |
| Samsung 980 Pro 1T NVMe [yew] | Graph Data | Graph | Graph Data | Graph |
| Samsung 980 Pro 2T NVMe [yew] | Graph Data | Graph | Graph Data | Graph |
| Samsung HD501LJ 500GB 7200RPM SATA2 [q2] | Graph Data | Graph | Graph Data | Graph |
| Samsung PM1725 3.2TB NVMe Read [ca-nfsdev6] | Graph Data | Graph | Graph Data | Graph |
| Samsung PM1733 4T NVMe [cax9203m] | Graph Data | Graph | Graph Data | Graph |
| Sandisk 16GB MicroSD Read [blackbox] | Graph Data | Graph | Graph Data | Graph |
| Sandisk Cruzer 4GB Flash USB2 [elm3b225] | Graph Data | Graph | Graph Data | Graph |
| SanDisk Cruzer 4GB USB2 Read [tree] | Graph Data | Graph | Graph Data | Graph |
| SanDisk Cruzer Fit 4GB USB2 Read [tree] | Graph Data | Graph | Graph Data | Graph |
| SanDisk SSD 5000 16G SATA [idp] | Graph Data | Graph | Graph Data | Graph |
| Seagate Barracuda ES ST3750640NS 750G 7200RPM SATA [elm3a92] | Graph Data | Graph | Graph Data | Graph |
| Seagate Barracuda ES ST3750640NS 750G 7200RPM SATA 10% [elm3b225] | Graph Data | Graph | Graph Data | Graph |
| Seagate Barracuda ST15150N 3.5" 4G 7.2kRPM SCSI [quad] | Graph Data | Graph | Graph Data | Graph |
| Seagate Cheetah 15k.5 ST3300655SS 300G 15kRPM SAS [z30] | Graph Data | Graph | Graph Data | Graph |
| Seagate Cheetah 15k.5 ST373455SS 73G 15kRPM SAS [z30] | Graph Data | Graph | Graph Data | Graph |
| Seagate Cheetah 15k.7 ST3300657SS 300GB 3.5" 15kRPM SAS Read [ocho] | Graph Data | Graph | Graph Data | Graph |
| Seagate Elite ST43400N 2.9G 5400RPM SCSI Read [?] | Graph Data | Graph | Graph Data | Graph |
| Seagate Medalist ST38420A 8.4GB 5400RPM IDE [studbiscuit] | Graph Data | Graph | Graph Data | Graph |
| Seagate Momentus 7200.1 ST910021AS 2.5" 100G 7200RPM SATA [blackbox] | Graph Data | Graph | Graph Data | Graph |
| Seagate Momentus 7200.2 ST9100821AS 2.5" 100G 7200RPM SATA [blackbox] | Graph Data | Graph | Graph Data | Graph |
| Seagate Savvio 10k.2 ST9146802SS 2.5" 146G 10000RPM RAID0 SAS [elm3a63] | Graph Data | Graph | Graph Data | Graph |
| Seagate Savvio 10k.2 ST9146802SS 2.5" 146G 10kRPM SAS [elm3a80] | Graph Data | Graph | Graph Data | Graph |
| Seagate Savvio 15k.1 ST973451SS 2.5" 73G 15kRPM SAS [elm3c157] | Graph Data | Graph | Graph Data | Graph |
| Seagate ST1000DM003-9YN162 1TB 3.5" 7.2kRPM SATA Read [boo] | Graph Data | Graph | Graph Data | Graph |
| Seagate ST2000DM001-1CH164 3.5" 2TB 7200RPM SATA Read [sub3] | Graph Data | Graph | Graph Data | Graph |
| Seagate ST3120023b 120GB 7200RPM UDMA5 IDE [anchor] | Graph Data | Graph | Graph Data | Graph |
| Seagate ST31500541AS 3.5" 1.5TB 5.9kRPM SATA Read [tortuga] | Graph Data | Graph | Graph Data | Graph |
| Seagate ST31500541AS 3.5" 1.5TB 5.9kRPM SATA Write [tortuga] | Graph Data | Graph | Graph Data | Graph |
| Seagate ST32000641AS 2TB 3.5" 7.2kRPM SATA Read [sub3] | Graph Data | Graph | Graph Data | Graph |
| Seagate ST32000641AS 2TB 3.5" 7.2kRPM SATA Read #2 [plum] | Graph Data | Graph | Graph Data | Graph |
| Seagate ST32140N 2.1GB 5400RPM IDE [mysterious] | Graph Data | Graph | Graph Data | Graph |
| Seagate ST3250310NS 3.5" 250G 7200RPM SATA [elm3a197] | Graph Data | Graph | Graph Data | Graph |
| Seagate ST3250310NS 3.5" 250G 7200RPM SATA 30% [elm3b225] | Graph Data | Graph | Graph Data | Graph |
| Seagate ST3250310NS 3.5" 250G 7200RPM SATA-on-SAS [elm3a197] | Graph Data | Graph | Graph Data | Graph |
| Seagate ST3250824AS 250G 7200RPM SATA [tv] | Graph Data | Graph | Graph Data | Graph |
| Seagate ST3320620AS 320G 7200RPM SATA [sub2] | Graph Data | Graph | Graph Data | Graph |
| Seagate ST3400620AS 400G 7200RPM SATA [sub1] | Graph Data | Graph | Graph Data | Graph |
| Seagate ST3450856SS 450GB 3.5" 15kRPM SAS Read [ocho] | Graph Data | Graph | Graph Data | Graph |
| Seagate ST3500630NS 500G 3.5" 7.2kRPM SATA Read [quad] | Graph Data | Graph | Graph Data | Graph |
| Seagate ST3500641NS 500G 7200RPM SATA [elm3a253] | Graph Data | Graph | Graph Data | Graph |
| Seagate ST373454SS 73.4 15000RPM SAS w/ Error Injection [elm3a92] | Graph Data | Graph | Graph Data | Graph |
| Seagate ST373454SS 73.4G 15000RPM SAS [elm3a92] | Graph Data | Graph | Graph Data | Graph |
| Seagate ST446452W 47GB 5.25" 14p 5kRPM SCSI Read [flax] | Graph Data | Graph | Graph Data | Graph |
| Seagate ST91000640SS 1TB 2.5" 7.2kRPM SAS Read [elm3c44] | Graph Data | Graph | Graph Data | Graph |
| Seagate ST9146803SS 2.5" 146GB 10kRPM SATA Read [elm3c46] | Graph Data | Graph | Graph Data | Graph |
| Seagate ST9146853SS 146GB 2.5" 15kRPM SAS Read [elm3c44] | Graph Data | Graph | Graph Data | Graph |
| Seagate ST9250827AS 2.5" 250G 5400RPM SATA [mini] | Graph Data | Graph | Graph Data | Graph |
| Seagate ST9300603SS 300GB 2.5" 10kRPM SAS Read [elm3a63] | Graph Data | Graph | Graph Data | Graph |
| Seagate ST936701SS 36.4G 10000RPM 2.5" SAS [elm3a186] | Graph Data | Graph | Graph Data | Graph |
| Seagate ST9500430SS 2.5" 500GB 7.2kRPM SATA Read [elm3c46] | Graph Data | Graph | Graph Data | Graph |
| Seagate ST95005620AS Momentus XT 2.5" 500G 7.2kRPM Hybrid SATA Read [blackbox] | Graph Data | Graph | Graph Data | Graph |
| Seagate ST95005620AS Momentus XT 2.5" 500G 7.2kRPM Hybrid SATA Read #2 [plum] | Graph Data | Graph | Graph Data | Graph |
| Seagate ST9600204SS 600GB 2.5" 10kRPM SAS Read [elm3c44] | Graph Data | Graph | Graph Data | Graph |
| Seagate ST973401SS 73.4G 10000RPM SAS [elm3a89] | Graph Data | Graph | Graph Data | Graph |
| Seagate ST973451SS 2.5" 73G 15000RPM SAS [elm3b55] | Graph Data | Graph | Graph Data | Graph |
| Seagate ST973451SS 2.5" 73G 15kRPM SAS 0-25% [elm3a197] | Graph Data | Graph | Graph Data | Graph |
| Seagate ST973451SS 2.5" 73G 15kRPM SAS 10% [elm3a197] | Graph Data | Graph | Graph Data | Graph |
| Seagate ST973451SS 2.5" 73G 15kRPM SAS 100% [elm3a197] | Graph Data | Graph | Graph Data | Graph |
| Seagate ST973451SS 2.5" 73G 15kRPM SAS 13% [elm3a197] | Graph Data | Graph | Graph Data | Graph |
| Seagate ST973451SS 2.5" 73G 15kRPM SAS 18% [elm3a197] | Graph Data | Graph | Graph Data | Graph |
| Seagate ST973451SS 2.5" 73G 15kRPM SAS 25% [elm3a197] | Graph Data | Graph | Graph Data | Graph |
| Seagate ST973451SS 2.5" 73G 15kRPM SAS 25-50% [elm3a197] | Graph Data | Graph | Graph Data | Graph |
| Seagate ST973451SS 2.5" 73G 15kRPM SAS 35% [elm3a197] | Graph Data | Graph | Graph Data | Graph |
| Seagate ST973451SS 2.5" 73G 15kRPM SAS 50% [elm3a197] | Graph Data | Graph | Graph Data | Graph |
| Seagate ST973451SS 2.5" 73G 15kRPM SAS 50-75% [elm3a197] | Graph Data | Graph | Graph Data | Graph |
| Seagate ST973451SS 2.5" 73G 15kRPM SAS 70% [elm3a197] | Graph Data | Graph | Graph Data | Graph |
| Seagate ST973451SS 2.5" 73G 15kRPM SAS 75-100% [elm3a197] | Graph Data | Graph | Graph Data | Graph |
| Seagate ST973451SS 2.5" 73G 15kRPM SAS 9% [elm3a197] | Graph Data | Graph | Graph Data | Graph |
| Seagate ST973452SS 2.5" 73G 15kRPM SAS [elm3a123] | Graph Data | Graph | Graph Data | Graph |
| Seagate ST9750422AS 2.5" 750G SATA2 Read [plum] | Graph Data | Graph | Graph Data | Graph |
| Seagate ST9750422AS 2.5" 750G SATA2 Read (4K reads) [plum] | Graph Data | Graph | Graph Data | Graph |
| ServeRAID 30-disk RAID5 SCSI [tux1] | Graph Data | Graph | Graph Data | Graph |
| Sony CDRW CRX185E1 40x CD-RW IDE [tortuga] | Graph Data | Graph | Graph Data | Graph |
| Sony CDRW CRX185E1 40x CD-RW IDE [tortuga] | Graph Data | Graph | Graph Data | Graph |
| Sony CDRW CRX185E1 40x CD-RW IDE Anticipatory [tortuga] | Graph Data | Graph | Graph Data | Graph |
| Sony CDRW CRX185E1 40x CD-RW IDE CFQ [tortuga] | Graph Data | Graph | Graph Data | Graph |
| Sony CDRW CRX185E1 40x CD-RW IDE Deadline [tortuga] | Graph Data | Graph | Graph Data | Graph |
| Sony CDU-621D 14x CD-ROM IDE [beanmachine] | Graph Data | Graph | Graph Data | Graph |
| Sony DRU-810A 16x DVD-RW PATA [tree] | Graph Data | Graph | Graph Data | Graph |
| Sony DRU-810A 40x CD-RW IDE [tortuga] | Graph Data | Graph | Graph Data | Graph |
| Sony DRU-810A 8x DVD-RW IDE AS [tortuga] | Graph Data | Graph | Graph Data | Graph |
| Sony DRU-810A 8x DVD-RW IDE AS [tortuga] | Graph Data | Graph | Graph Data | Graph |
| Sony DRU-810A 8x DVD-RW IDE CFQ [tortuga] | Graph Data | Graph | Graph Data | Graph |
| Sony DRU-810A 8x DVD-RW IDE CFQ [tortuga] | Graph Data | Graph | Graph Data | Graph |
| Sony DRU-810A 8x DVD-RW IDE CFQ [tortuga] | Graph Data | Graph | Graph Data | Graph |
| Stec Mach8 32G SSD SATA Read [elm3b247] | Graph Data | Graph | Graph Data | Graph |
| Stec Mach8 32G SSD SATA Write [elm3b247] | Graph Data | Graph | Graph Data | Graph |
| Syquest EZ-Drive 135a IDE [provence] | Graph Data | Graph | Graph Data | Graph |
| Teac FD-05PUB 1.44" Floppy Drive USB [z30] | Graph Data | Graph | Graph Data | Graph |
| Timetec 2T NVMe Read [plum] | Graph Data | Graph | Graph Data | Graph |
| TORiSAN DRD-U624 6x DVD-ROM 24x CD-ROM IDE [djwong] | Graph Data | Graph | Graph Data | Graph |
| Toshiba MK8026GAX 2.5" 80G 5400RPM UDMA5 PATA [albert] | Graph Data | Graph | Graph Data | Graph |
| Toshiba THNSF5256GPUK 256GB NVMe Read [magnolia] | Graph Data | Graph | Graph Data | Graph |
| Toshiba XM-5702B 12x CD-ROM IDE [mysterious] | Graph Data | Graph | Graph Data | Graph |
| Transcend 8GB SDHC Read [blackbox] | Graph Data | Graph | Graph Data | Graph |
| Transcend JetFlash 760 64GB USB3 Read [larch] | Graph Data | Graph | Graph Data | Graph |
| WDC WD30EFRX 3TB 3.5" 7.2kRPM SATA Read [sub3] | Graph Data | Graph | Graph Data | Graph |
| WDC WDS100T2B0A 1T SATA Read [doh] | Graph Data | Graph | Graph Data | Graph |
| WD My Passport 3TB 2.5" 5.4kRPM SATA Read [birch] | Graph Data | Graph | Graph Data | Graph |
| WD Raptor 740GD 73.4G 10000RPM SATA [sub2] | Graph Data | Graph | Graph Data | Graph |
| WD WDS200T2B0A 2T SATA Read [plum] | Graph Data | Graph | Graph Data | Graph |
| Western Digital Caviar 31600H 1.6GB 5200RPM IDE [mysterious] | Graph Data | Graph | Graph Data | Graph |
| Western Digital Caviar WDC-153BA 15GB IDE 7200rpm [beanmachine] | Graph Data | Graph | Graph Data | Graph |
| Western Digital Scorpio Black WD3200BEK 320G 2.5" 7.2kRPM SATA Read [flax] | Graph Data | Graph | Graph Data | Graph |
| Western Digital VelociRaptor WD3000BLFS 300G 2.5" 10kRPM SATA Read [quad] | Graph Data | Graph | Graph Data | Graph |
| Western Digital WD10JPVT 1TB 2.5" 3Gbps SATA Read [blackbox] | Graph Data | Graph | Graph Data | Graph |
| Western Digital WD1600YS-23S 160G 7200RPM SATA [elm3a165] | Graph Data | Graph | Graph Data | Graph |
| Western Digital WD2500YS-23S 250G 7200RPM SATA [idp] | Graph Data | Graph | Graph Data | Graph |
| Western Digital WD2502ABYS RE3 3.5" 250G 7.2kRPM SATA [quad] | Graph Data | Graph | Graph Data | Graph |
| Western Digital WD5000AAKB-00H8A0 3.5" 500G 7.2kRPM PATA Read [quad] | Graph Data | Graph | Graph Data | Graph |
| Western Digital WD5000AAKB-00H8A0 3.5" 500G 7.2kRPM PATA Write [quad] | Graph Data | Graph | Graph Data | Graph |
| Western Digital WD5000AAKS 500GB 7200RPM SATA2 [q2] | Graph Data | Graph | Graph Data | Graph |
| Western Digital WD800JB UDMA5 80GB 7200RPM IDE [tortuga] | Graph Data | Graph | Graph Data | Graph |
| xD flash card 128M [norden] | Graph Data | Graph | Graph Data | Graph |
| xD flash card 512M [blackbox] | Graph Data | Graph | Graph Data | Graph |
Last modified: Mon Jan 27 17:10:15 PST 2025